Murray County Georgia Homepage
Search
 

View Other Items in this Archive | View All Archives

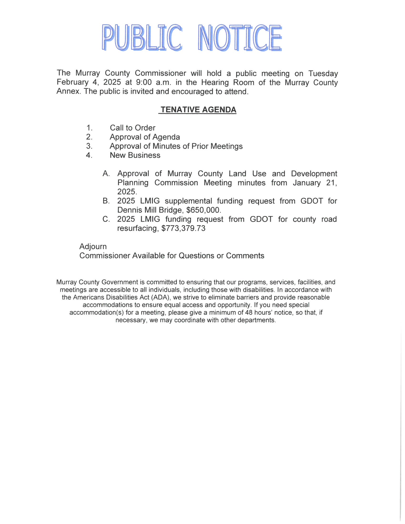
Murray County Commissioner Agendas - Agenda-February 4, 2025

Brief Description - Murray County Commissioner's Meeting Agenda-February 2025

This archive is a document file. Click on the link below to open it, or right-click to save the document or open it in a new window.

February_Page_1.jpg February_Page_1.jpg   (238 kb)

Some files located here may require the use of Adobe Acrobat Reader. The link provided will take you to the Adobe site where you can download the latest version.
Get Adobe Acrobat

Government Websites by CivicPlus®
Arrow Left Arrow Right
Slideshow Left Arrow Slideshow Right Arrow